Startseite/ Calculus Reference

Calculus Reference 1bbf9c99 MOD APK for Android

Calculus Reference
Version 1bbf9c99
Aktualisierungsdatum October 28, 2025
Kategorie Informationslesen
Größe 1.09MB
9.5
1
2
3
4
5

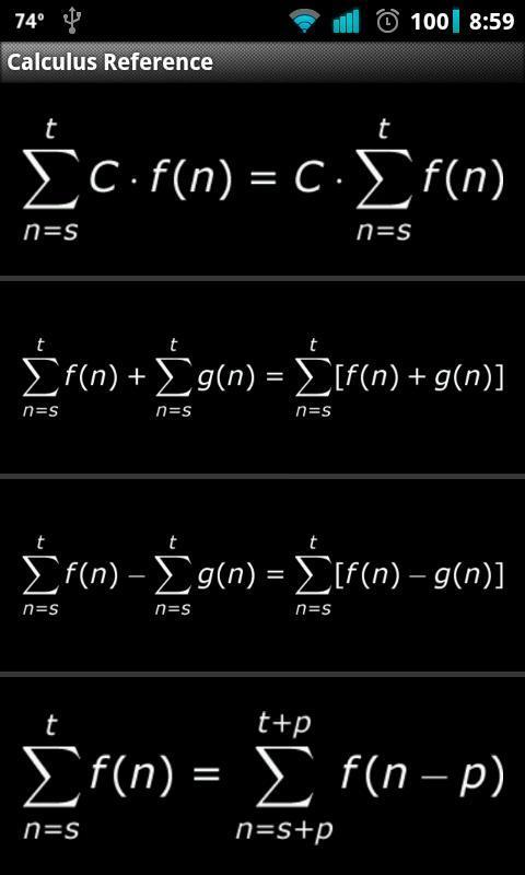
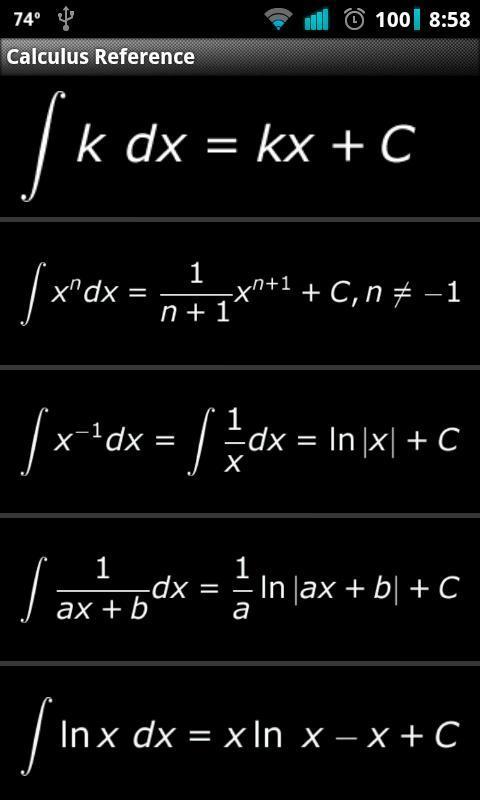
Ein leicht zu bedienender Referenzhandbuch für gemeinsame Kalkülgleichungen und Formeln.

Müssen Sie Ihren Kalkül oder eine Überprüfung für einen Test auffrischen? Dies ist die App für Sie! Verwenden Sie diesen großartigen Calculus -Studienleitfaden, um Ihre nächste Prüfung zu ACE.

** Erwägen Sie, die Spendenversion zu kaufen, um den Entwickler zu unterstützen!

Beinhaltet Material, bedeckt in:

Kalkül 1 / Kalkül AB

Kalkül 2 / Kalkül BC

Themen abgedeckt:

Grenzen

Derivate

Integrale

Serie

Was ist neu in der neuesten Version 1BBF9C99

Zuletzt aktualisiert am 30. Januar 2019 Update für Android 9 (PIE)