首頁/ Derivative Integral Formula

Derivative Integral Formula 1.9 MOD APK for Android

Derivative Integral Formula
版本 1.9
更新時間 November 5, 2025
類別 教育學習
大小 936.59KB
7.4
1
2
3
4
5

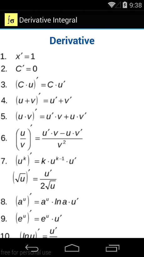
積分和衍生物的公式

它是免費的應用程序,可幫助您參考數學積分和衍生公式。

所以下載!

最新版本1.9中有什麼新功能

上一次更新於2015年9月6日的衍生化計算器
積分計算器