首页/ Mathematics Formula Reference

Mathematics Formula Reference 1.1.0 MOD APK for Android

Mathematics Formula Reference
版本 1.1.0
更新时间 March 14, 2026
类别 教育学习
大小 14.71MB
8
1
2
3
4
5

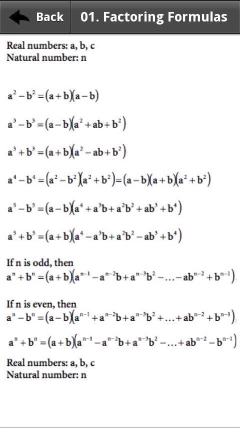
数学公式参考具有大量的数学公式。

数学公式参考是一个简单的应用程序,可帮助您访问大量的数学公式,其中成千上万

数学方程。

该应用程序可以帮助您作为快速参考(备忘单),因此您可以随时随地访问数学公式。

这个数学配方应用程序是同类产品中最全面的应用程序之一。

数学公式参考涵盖以下主题:

1。数字集

2。代数

3。几何(平面和空间)

4。三角学

5。矩阵和决定因素

6。矢量

该应用程序可以移至SD卡。

请随时报告与内容和该应用程序有关的错误。

[使用说明]

1)开放数学公式参考。

2)选择要浏览的数学主题。

3)选择要查看的亚主题。

4)查看与您选择的子主题相关的公式。